滬高招本科普通批次專業組投檔線公布,前10志愿總體投檔成功率近90%
8月14日,上海市教育考試院公布了2022年上海市普通高校招生本科普通批次院校專業組投檔線。市教育考試院有關負責人表示:今年有563所院校在本科普通批次開展招生,招生計劃比往年略有增加;從今年的志愿填報及投檔情況來看,考生填報的意向較為明確,所填報的志愿有效性較高,院校專業組志愿的投檔成功率比較理想。在24個院校專業組志愿中,前10個志愿的總體投檔成功率接近90%。
8月16日晚,參加本科普通批次招生的考生可通過市教育考試院“上海招考熱線”網站(www.shmeea.edu.cn)查詢本科普通批次錄取結果。
【前10個志愿的總體投檔成功率近90%】
據介紹,7月23日公布高考成績后,本市啟動高招集中錄取工作,截至目前已經完成了強基計劃、綜合評價批次、零志愿批次、本科提前批次、本科藝體類批次和地方農村專項計劃批次等錄取工作,共錄取考生1.2萬余名。
從8月12日起,本科普通批次的投檔錄取工作正式開始,分三個階段進行:8月12日至13日為模擬投檔階段;8月14日上午,市教育考試院按照各院校專業組實到計劃1:1的比例向高校正式投檔;8月14日至15日,各高校按照公布的招生章程對投檔考生進行專業錄取,并將錄取結果反饋給市教育考試院進行審核。
本科普通批次是本市高招錄取過程中參與考生最多、也是最為重要的一個招生批次。今年由于本市高考延期,使得高招錄取工作相應延后,有不少考生和家長擔心今年普通批次的招生計劃是否會因此受到影響。據統計,前期在教育部、市教委和招生院校的大力支持下,今年有563所院校在本科普通批次開展招生,招生計劃比往年略有增加。
本科普通批次如何進行投檔?市考試院有關負責人介紹,本科普通批次按各院校專業組實到計劃1:1的比例向高校投檔,采用平行志愿的投檔方式,執行“分數優先、遵循志愿、一輪投檔”原則,將考生按照高考總分由高到低進行排序,然后由投檔系統逐一檢索考生的志愿。在遇到考生高考總分相同時,則要按照以下規則進行排序投檔:
第1位序:比較考生的語文加數學兩門合計成績高低,高者優先;
第2位序:第1位序同分者中,比較考生的語文或數學中單科成績高低,高者優先;
第3位序:第2位序同分者中,比較考生的外語成績高低,高者優先;
第4位序:第3位序同分者中,比較考生的選考科目中單科成績高低,高者優先;
第5位序:第4位序同分者中,比較考生的選考科目中次高科成績高低,高者優先;
第6位序:第5位序同分者中,比較考生志愿順序,按各自順序分別投檔。志愿順序相同的同分同位考生執行同時投檔。
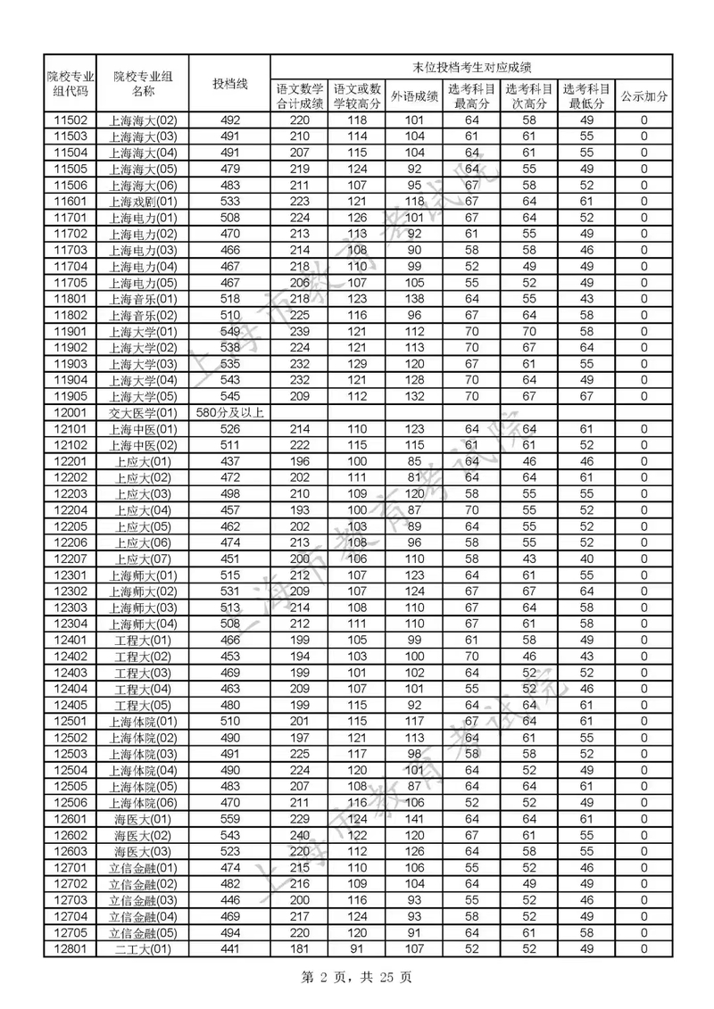
附:部分高校本科普通批次專業組投檔分數線



從今年的志愿填報及投檔情況來看,考生填報的意向較為明確,所填報的志愿有效性較高,院校專業組志愿的投檔成功率比較理想。在24個院校專業組志愿中,前10個志愿的總體投檔成功率接近90%。從各院校專業組產生的投檔線來看,高水平大學的整體位序基本穩定,個別院校專業組間存在一定的分差,主要是由于各專業組間專業屬性及選科要求不同形成的分差。
【最末位進檔的考生成績即為該院校專業組投檔分數線】
市考試院表示,院校專業組投檔分數線不是事先劃定的,而是在進行正式投檔時,各院校專業組最末位進檔的考生成績即為該院校專業組投檔分數線。市考試院強調,為避免發生炒作高分段考生投檔情況等現象,投檔分數線在580分及以上的院校專業組不再公布具體分數。參與本科普通批次投檔且高考成績在580分及以上考生的投檔信息將由市教育考試院會同相關中學逐一告知考生。
580分以下的考生可根據自己的高考成績以及所填報的志愿,按照以下方法對照公布的各院校專業組投檔線,判斷自己能否被投檔或被投檔到哪個院校專業組:
比如某考生高考成績為568分,則他應根據自己填報的院校專業組志愿順序進行比較,若考生填報的志愿順序依次為北京理工(01)[投檔線574分]、南開大學(02)[投檔線571分]、山東大學(02)[投檔線565分]、上海財經大學(03)[投檔線567分]……其中,1至2志愿投檔線都高于考生成績,第3志愿投檔線低于考生成績,則考生被投檔到第3志愿山東大學(02),不會再看考生后面填報的志愿。
若考生的高考總分與院校專業組投檔線相同,則要用本人成績與該院校專業組的末位投檔考生對應成績來進行比較:

考生A的語文數學合計成績(218分)與太原理工(02)末位投檔考生成績相同,語數單科較高成績(120分)高于太原理工(02)末位投檔考生的118分,故考生A被成功投檔至太原理工(02)
考生B的語文和數學合計成績(218分)、語數單科較高成績(118分)均與太原理工(02)末位投檔考生成績相同,外語成績(123分)低于太原理工(02)末位投檔考生的126分,故考生B未能被投檔至太原理工(02)。
需要提醒以下兩點:
一是考生被投檔后,各高校按照公布的招生章程對投檔考生開展專業錄取工作,錄取完成后才能確定考生是否被該院校錄取、被錄取至哪個專業。
二是根據教育部關于規范提前批次招生院校及專業的相關要求,有部分原先在本科提前批次招生的院校專業組調整至本科普通批次招生,共13所院校(14個院校專業組),在專業組代碼中以Q標注。此類院校專業組單獨公布投檔分數線。

市考試院有關負責人表示,由于本科普通批次平行志愿是根據各院校專業組實到計劃按照1:1比例進行投檔,因此考生若被投檔至院校專業組后,大概率會被錄取。從近年的錄取情況來看,有極個別考生被院校專業組退檔,原因是考生選擇了不服從專業調劑,或不符合組內其他可調劑專業的體檢、單科成績限制等要求。
【本科普通批次第二次征求志愿降分控制線為385分】
本科控制線下考生還有沒有機會被本科專業錄???市考試院有關負責人表示,待本科普通批次第一次征求志愿錄取結束后,若仍有院校專業組未完成計劃且愿意降分錄取,則將參加本科普通批次第二次征求志愿。
經研究決定,2022年上海市普通高校招生本科普通批次第二次征求志愿降分控制線為385分,高考總分在399分至385分之間的考生可以在第一次征求志愿錄取結束后,關注“上海招考熱線”網站上公布的“本科普通批次第二次征求志愿填報院校專業組缺額計劃表”,選擇其中愿意降分錄取的相關院校專業組及專業進行填報。
8月16日晚,參加本科普通批次招生的考生可通過市教育考試院“上海招考熱線”網站(www.shmeea.edu.cn)查詢本科普通批次錄取結果。未能被錄取的考生仍可以通過填報本科普通批次兩次征求志愿和??齐A段志愿來爭取錄取機會,相關填報安排如下:

建議考生珍惜寶貴的錄取機會,合理填報相關志愿。需要提醒的是,385分及以上的考生可以同時填報本科普通批次第二次征求志愿和??齐A段志愿,在錄取時先進行第二次征求志愿的錄取,若仍未錄取則進入??齐A段的投檔錄取。
分享讓更多人看到
相關新聞
- 評論
- 關注
























第一時間為您推送權威資訊
報道全球 傳播中國
關注人民網,傳播正能量